產品推介|風華高科TB系列薄膜電阻提供智能計量高精度解決方案
在智能電表中,輸入端通常采用高阻電阻網絡實現電壓分壓、限流以及浪涌電流抑制功能。該設計有效控制輸入電壓的同時,為后級精密測量電路提供可靠的過壓與過流保護。輸出端則普遍選用低阻值分流電阻進行電流采樣,以實現對電表內部電路電流的精確測量與調控。

▲圖1 智能儀表內部電路示意圖
目前,智能電表在實際運行中面臨嚴峻挑戰:
?高壓浪涌沖擊
輸入側常暴露于較高的線路電壓,偶發的瞬態高壓浪涌是導致電表失效的主要行業痛點之一。
?全溫區阻值漂移
電流采樣精度高度依賴于分流電阻的性能,要求其在全工作溫度范圍內溫度系數(TCR)符合標準且滿足線性度要求,這是行業關注的核心技術指標。
?長壽命可靠性
依據國家電網《單相智能電能表(2020版)通用技術規范》,電能表整機設計壽命需≥16年,這對核心元器件的長期可靠性、抗老化能力提出了前所未有的嚴苛要求。
綜上所述,針對上述三大關鍵挑戰——高壓浪涌防護、全溫區高精度采樣、超長使用壽命,風華高科開發并推出了專為智能電表、水表、氣表(三表)應用設計的薄膜電阻器解決方案:TB系列產品。

▲圖2 三表類薄膜電阻-TB系列應用領域
風華高科TB系列薄膜電阻滿足高精度計量、信號調理及功率管理需求,以技術領先性、場景適配性、國產替代性為核心,為高精度智能計量提供穩定可靠的電阻解決方案。
?國網標準級可靠性
國內首家對最新版國家電網元器件技術規范要求作出可靠性驗證,并在規格書中對性能作出承諾,堅定智能儀表客戶使用信心。
全系列產品滿足《電能計量設備用元器件技術規范 第3部分:電阻器》(Q/GDW 11179.3-2023)的要求。
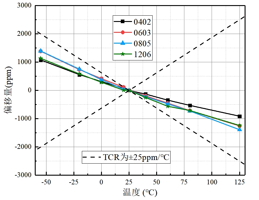
?全溫段TCR性能保證

▲圖3TB薄膜電阻TCR特性曲線
?高抗浪涌性能
設計上,采用新型耐高壓功能層電阻材料,同時調控工藝,使得電流路徑如圖4所示增加。見如下公式,隨著路徑的增加,電位梯度減小。
其中E為電位梯度,φ為電勢,l為電流路徑。
▲圖4 抗浪涌工藝調控示意圖
▲圖5 浪涌提升效果數據圖
對比常規薄膜電阻(1206,100kΩ以上)抗浪涌電壓2kv,實現耐浪涌電壓提升至4kV,阻值變化率≤0.2%。
?良好耐濕熱性能
新創保護鈍化工藝,采用不同功能保護材料,實現疊加多層保護工藝,產品長期耐濕熱性能提升,雙85濕熱試驗耐受時間超過1000h。
TB系列薄膜電阻成功打破國外技術襲斷,風華高科作為國內首家實現該類產品規模化量產的企業,成為全球電子科技產業發展中不可或缺的重要合作伙伴,持續為行業發展注入創新動力,推動中國電子元器件產業向高端化、智能化、國際化邁進。